In questo articolo, presentiamo un progetto per misurare la corrente continua utilizzando il sensore ad effetto Hall ACS712 e Arduino. L’ACS712 è un sensore di corrente economico ed efficace per il rilevamento della corrente in applicazioni industriali, nel settore energetico e nelle comunicazioni. Per dimostrare l’ottima funzionalità e la precisione di misurazione, l’ACS712 si interfaccerà con Arduino e si potrà visualizzare il valore misurato della corrente su un display LCD.
Introduzione - Il sensore di corrente ad effetto Hall ACS712
La misurazione della corrente alternata e continua ha molte applicazioni, come nella protezione dei sistemi di alimentazione. Le tecniche di misurazione della corrente alternata vengono utilizzate per misurare la corrente di sovraccarico a protezione di trasformatori e generatori. Ad esempio, si può realizzare un’applicazione per monitorare lo stato di un trasformatore, anche tramite piattaforme IoT, che utilizzano questa tecnica di misurazione della corrente alternata. Analogamente, si possono progettare circuiti di misura della corrente alternata o continua per realizzare contatori di potenza alternata o contatori di energia. L’ACS712 viene utilizzato anche nella misurazione della corrente dei motori a induzione trifase per il controllo automatico a retroazione.
La Figura 1 mostra il modulo ACS712 con la denominazione dei pin. A fianco del modulo è riportato lo schema applicativo semplificato del chip ACS712 integrato nel modulo.

Figura 1: Modulo ACS712 con schema applicativo semplificato
In riferimento allo schema applicativo di Figura 1, l'ACS712 presenta sul pin VOUT un segnale analogico (una tensione) variabile linearmente proporzionale alla corrente alternata o continua rilevata ai pin IP+ e IP-, sia unidirezionale che bidirezionale, entro l'intervallo specificato dal datasheet. Il condensatore CF è consigliato per ridurre il rumore; il suo valore viene scelto in funzione dell'applicazione. Il modulo ACS712 è un sensore di corrente ad effetto Hall di tipo lineare basato sul chip ACS712 prodotto da Allegro MicroSystems. Presenta funzionalità di cancellazione del rumore e un tempo di risposta molto elevato. L'errore di uscita è di circa 1,5%, ma può essere gestito con una programmazione intelligente.
L'uscita del sensore ha una pendenza positiva quando una corrente crescente scorre attraverso il percorso di conduzione primario in rame (dai pin IP+ ai pin IP-), che è il percorso utilizzato per il campionamento della corrente. La resistenza interna di questo percorso conduttivo è tipicamente di 1,2 mΩ, garantendo una bassa perdita di potenza. Un adeguato spessore del conduttore in rame consente al dispositivo di resistere a condizioni di sovracorrente. I terminali del percorso conduttivo sono elettricamente isolati dai conduttori di segnale (pin da 5 a 8). Ciò consente all'ACS712 di essere utilizzato in applicazioni che richiedono isolamento elettrico senza l'uso di optoisolatori o altre costose tecniche di isolamento.
Tipi di sensori di corrente ACS712
Nella tabella di Figura 2 sono elencati i tre modelli di chip ACS712 distinti in base alla corrente massima misurabile, ±5 A, ±20 A e 30 A, e alla sensibilità espressa in mV/A.

Figura 2: Modelli di chip ACS712
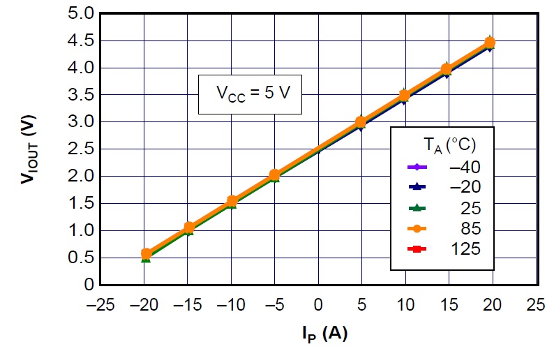
Il modulo ACS712 che utilizzeremo in questa dimostrazione, integra il chip ACS712ELCTR-20A-T in grado di misurare correnti fino a ±20 Ampere con una sensibilità di 100mV/A. Quindi, questo chip può misurare correnti da -20 A a +20 A, rispettivamente fornendo in uscita una tensione da 0,5 V a 4,5 V con una sensibilità di 100 mV per 1 A di corrente applicata in ingresso. La Figura 3, estratto dal datasheet dell’ACS712, riporta il grafico dell’andamento della tensione di uscita in funzione della corrente di ingresso.

Figura 3: Grafico della tensione di uscita in funzione della corrente di ingresso dell’ACS da 20 A
Nel grafico di Figura 3, si noti come l’andamento lineare della tensione di uscita in funzione della corrente d’ingresso sia sostanzialmente invariabile alle escursioni della temperatura, e che per una variazione di corrente da 0 a 5 A, o da 0 a -5 A, la variazione di tensione corrispondente è pari a 500 mV, ovvero la pendenza della funzione lineare ∆V/∆I=500 mV/5 A=100 mV/1 A esprime la sensibilità del sensore ACS712.
Funzionamento del sensore di corrente ACS712
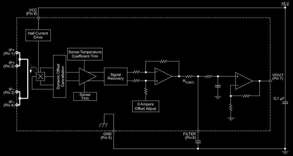
Come già accennato in precedenza, questo sensore è costituito da un circuito lineare ad effetto Hall con un percorso di conduzione in rame che è attraversato da una corrente che deve essere misurata. Quando la corrente, alternata o continua, attraversa il percorso di conduzione in rame, produce un campo elettromagnetico che interagisce con il sensore ad effetto Hall. Il circuito sensibile all’effetto Hall converte questo campo elettromagnetico in una tensione proporzionale all’intensità della corrente in ingresso. La tensione di uscita può essere misurata convertendola in un segnale digitale mediante un microcontrollore come Arduino o qualsiasi altro microcontrollore dotato di un convertitore analogico-digitale (ADC). La Figura 4 mostra (all’interno del rettangolo tratteggiato) lo schema a blocchi funzionale del chip ACS712.

Figura 4: Schema a blocchi funzionale del chip ACS712
Seguendo lo schema a blocchi dell’ACS712 riportato in Figura 4, il pin 5 è la messa a terra del chip ACS712 che deve essere collegato al polo negativo dell’alimentatore a 5 volt; il pin 6 è utilizzato per collegare il condensatore di filtraggio del rumore, mentre l’altro terminale del condensatore deve essere collegato a terra. Il pin 8 VCC è un pin di alimentazione e va collegato al positivo dell’alimentatore a 5 volt; è consigliabile collegare un condensatore da 0,1 µF fra il positivo dell’alimentatore e massa. Il pin 7 VOUT è il pin di uscita del sensore di corrente ACS712. Al pin di uscita viene misurato il valore di tensione analogica a cui corrisponderà il valore della corrente di ingresso dell’ACS712. Infine, i pin IP+ (1 e 2) e IP- (3 e 4) sono i pin d’ingresso del percorso conduttivo a cui si collegherà il conduttore di cui si dovrà misurare la corrente che lo attraversa; si deve evitare di collegare il carico in parallelo ai IP+ e IP-, poiché ciò danneggerebbe il dispositivo e potrebbe anche creare danni fisici se si ha a che fare con un alimentatore o un carico in corrente alternata.
Miglioramento della sensibilità dell’ACS712
Nelle applicazioni di rilevamento di correnti a bassa frequenza, è spesso vantaggioso aggiungere un semplice filtro RC passa-basso all'uscita dell’ACS712. Tale filtro migliora il rapporto segnale/rumore e di conseguenza la risoluzione del segnale di uscita, tuttavia, in generale, l'aggiunta di un filtro RC all'uscita di un circuito integrato di un sensore può causare un'attenuazione indesiderata del segnale anche per segnali in corrente continua. La Figura 5 illustra un esempio di filtraggio RC e ridimensionamento della tensione di uscita massima da 5 V a 3,3 V per limitare la massima tensione applicabile all’ingresso di un convertitore analogico-digitale di un microcontrollore operante a 3,3 V.
ATTENZIONE: quello che hai appena letto è solo un estratto, l'Articolo Tecnico completo è composto da ben 2410 parole ed è riservato agli ABBONATI. Con l'Abbonamento avrai anche accesso a tutti gli altri Articoli Tecnici che potrai leggere in formato PDF per un anno. ABBONATI ORA, è semplice e sicuro.






